Cálculo C

Lista 11

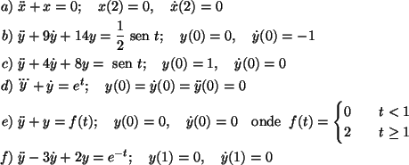
Exercício 1   Achar a solução de:

\begin{align*}a)\;&\ddot{x}+x=0;\quad x(2)=0,\quad\dot{x}(2)=0\\
b)\;&\ddot{y}+...
...f)\;&\ddot{y}-3\dot{y}+2y=e^{-t};\quad y(1)=0,\quad \dot{y}(1)=0\\
\end{align*}

Exercício 2   Encontrar as transformadas inversas de

\begin{align*}1)\;g(s)=& \frac{1}{s^2(s^2+9)}\\
2)\;g(s)=& \frac{1}{\sqrt{s}}\\...
...\;g(s)=&\frac{s+4}{s^2+4s+8}\\
5)\;g(s)=&\frac{8}{s^3(s^2-s-2)}\\
\end{align*}


Exercício 3   Resolva os sistemas abaixo:


\begin{align*}&\dot{x}+x-y=0 & \dot{y}+x=t\\
&\dot{y}-x+y=2 & \dot{x}+4y=0\\
& x(0)=1\quad y(0)=2 &y(0)=1,\quad x(0)=-1
\end{align*}


\begin{align*}&\dot{z}+\dot{y}=\cos t & \ddot{w}-2y=2\\
&\ddot{y}-z={\text {\ s...
...1 &w(0)=2,\quad \dot{y}(0)=2\\
& y(0)=1\quad \dot{y}(0)=0 & y(0)=1
\end{align*}


\begin{align*}&\dot{x}+5x-12y=0 & \dot{x}-2y=3\\
&\dot{y}+2x-5y=0 & \dot{y}+y-x=-t^2\\
& x(0)=8\quad y(0)=3 &x(0)=0,\quad y(0)=-1\\
\end{align*}


\begin{align*}&\ddot{x}=2\dot{x}+5y+3 & \ddot{x}+y=0\\
&\dot{y}=-\dot{x}-2y & \...
...=0\quad \dot{x}(0)=0 &x(0)=0,\quad \dot{x}(0)=-2\\
&y(0)=1 &y(0)=0
\end{align*}

Aldrovando Azeredo Araujo